東晟產品分類
聯系我們
廣東東晟密封科技有限公司
電話:
傳真:
地址:石碣鎮橫滘工業區偉業街
郵編:523302
E-mail:
影響O型密封圈密封性能的其它因素
來源:廣東東晟密封科技有限公司更新時間:2016-06-10
影響O型密封圈密封性能的其它因素
1、O型圈的材料硬度
O型圈密封件材料硬度是衡量O型密封圈密封性能重要的標準。O型圈的硬度決定了O型圈的壓縮量和溝槽大允許擠出間隙。由于邵氏A70的丁腈橡膠密封件材料都能滿足大部分的使用條件,故如對密封件材料不作特殊的說明,一般提供邵氏A70的丁腈橡膠作為O型圈的密封件材料。
2、擠出間隙
允許擠出間隙和系統壓力,O型圈截面直徑以及密封件材料硬度有關。通常,工作壓力越高,允許擠出間隙取值越小。如果間隙g超過允許范圍,就會導致O型圈擠出甚至損壞。
3、壓縮變形
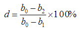
評定O型圈密封性能的另一標準即所選密封件材料的壓縮變形。在壓力作用下,作為有彈性的密封元件的O型圈,產生彈性變形,隨著壓力增大,也會出現的塑性變形。壓縮變形d可由下式確定:

式中:b0-原始厚度(即截面直徑W)
b1-壓縮狀態下的厚度
b2-釋放后的厚度
通常,為防止出現塑性變形,O型圈允許的壓縮量在靜密封中約為30%,在動密封中約為20%。
4、預壓縮量
O型圈安裝在溝槽里,為保證其密封性能,應預留一個初始壓縮量。對于不同的應用場合,相對于截面直徑W的預壓縮量也不同。通常,在靜密封中約為15%-30%,而在動密封中約為9%-25%。具體可參照下述圖表選擇。
5、 拉伸與壓縮
將O型圈安裝在溝槽內時,要受到拉伸或壓縮。若拉伸和壓縮的數值過大,將導致O型圈截面過度增大或減小,因為拉伸1%相應地使截面直徑W減小約0.5%。對于孔用密封,O型圈處于拉伸狀態,允許拉伸量為6%;對于軸用密封,O型圈延其周長方向受壓縮,允許周長壓縮量為3%。
6、O型圈用作旋轉軸密封
O型圈也可用作低速旋轉運動及運行周期較短的旋轉軸密封。當圓周速度低于0.5m/s時,O型圈選擇可按正常設計標準;當圓周速度大于0.5m/s時,須考慮拉長的橡膠圈受熱后會收縮這一現象,故選擇密封圈使其內徑比起被它密封的軸徑約大2%,上述現象就可以避免。密封圈在溝槽中安裝后,導致密封圈受到徑向壓縮,O型圈在溝漕中形成微量波紋狀,從而改善了潤滑條件。
7、安裝壓縮力
安裝時,壓縮力跟初始壓縮的程度和密封件材料硬度有關,密封周長上的單位壓縮力和截面直徑間的關系,用以估算安裝O型圈時所需的總力大小。
1、O型圈的材料硬度
O型圈密封件材料硬度是衡量O型密封圈密封性能重要的標準。O型圈的硬度決定了O型圈的壓縮量和溝槽大允許擠出間隙。由于邵氏A70的丁腈橡膠密封件材料都能滿足大部分的使用條件,故如對密封件材料不作特殊的說明,一般提供邵氏A70的丁腈橡膠作為O型圈的密封件材料。
2、擠出間隙
允許擠出間隙和系統壓力,O型圈截面直徑以及密封件材料硬度有關。通常,工作壓力越高,允許擠出間隙取值越小。如果間隙g超過允許范圍,就會導致O型圈擠出甚至損壞。
3、壓縮變形
評定O型圈密封性能的另一標準即所選密封件材料的壓縮變形。在壓力作用下,作為有彈性的密封元件的O型圈,產生彈性變形,隨著壓力增大,也會出現的塑性變形。壓縮變形d可由下式確定:

式中:b0-原始厚度(即截面直徑W)
b1-壓縮狀態下的厚度
b2-釋放后的厚度
通常,為防止出現塑性變形,O型圈允許的壓縮量在靜密封中約為30%,在動密封中約為20%。
4、預壓縮量
O型圈安裝在溝槽里,為保證其密封性能,應預留一個初始壓縮量。對于不同的應用場合,相對于截面直徑W的預壓縮量也不同。通常,在靜密封中約為15%-30%,而在動密封中約為9%-25%。具體可參照下述圖表選擇。
5、 拉伸與壓縮
將O型圈安裝在溝槽內時,要受到拉伸或壓縮。若拉伸和壓縮的數值過大,將導致O型圈截面過度增大或減小,因為拉伸1%相應地使截面直徑W減小約0.5%。對于孔用密封,O型圈處于拉伸狀態,允許拉伸量為6%;對于軸用密封,O型圈延其周長方向受壓縮,允許周長壓縮量為3%。
6、O型圈用作旋轉軸密封
O型圈也可用作低速旋轉運動及運行周期較短的旋轉軸密封。當圓周速度低于0.5m/s時,O型圈選擇可按正常設計標準;當圓周速度大于0.5m/s時,須考慮拉長的橡膠圈受熱后會收縮這一現象,故選擇密封圈使其內徑比起被它密封的軸徑約大2%,上述現象就可以避免。密封圈在溝槽中安裝后,導致密封圈受到徑向壓縮,O型圈在溝漕中形成微量波紋狀,從而改善了潤滑條件。
7、安裝壓縮力
安裝時,壓縮力跟初始壓縮的程度和密封件材料硬度有關,密封周長上的單位壓縮力和截面直徑間的關系,用以估算安裝O型圈時所需的總力大小。




